Process Dynamics And Control Seborg Solution Manual Pdf
Download process dynamics and control seborg solution manual pdf book pdf free download link or read online here in pdf.

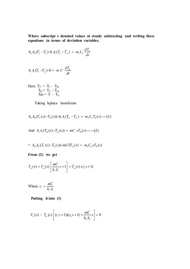
Process dynamics and control seborg solution manual pdf. A non electronic household appliance that utilizes built in feedback control is the wateraccess process. Eqs1 and 2 comprise the dynamic model for the system. Doyle please note that solution manuals for 2nd 3rd and 4th edition are sold separately solution manual for 4th edition is complete and there are one pdf file for each chapters. Seborg 3rd edition solutionspdf search pdf books free download free ebook and manual for business educationfinance inspirational novel religion social sports science technology holiday medicaldaily new pdf ebooks documents ready for download all pdf documents are freethe biggest database for free books and documents search with fast results better than any online library.
Unlike static pdf process dynamics and control 3rd edition solution manuals or printed answer keys our experts show you how to solve each problem step by step. Seborg 3rd edition process dynamics and control. Process dynamics and control seborg 2nd ch06. Process dynamics and control seborg 2nd edition solution manual pdf article firstprocess dynamics and control seborg 2nd ch11.
All books are in clear copy here and all files are secure so dont worry about it. Solution manual for process dynamics and control 2nd 3rd and 4th edition authors. Read online process dynamics and control seborg solution manual pdf book pdf free download link book now. Doyle please note that solution manuals for 2nd 3rd and 4th edition are sold separately solution.
Process dynamics and control seborg solution manual 3rd edition librarydoc68 pdf may not make. The temperature of steam ts is uniform over the entire heat. Solution manual for process dynamics and control 2nd 3rd and 4th edition authors. Ts is a function of ps ts fps.
Also this file include answers of process control modules. Process dynamics and control seborg solution manual 3rd edition librarydoc68 pdf best of all they are entirely free to find use and download so there is no cost or stress at all. No need to wait for office hours or assignments to be graded to find out where you took a wrong turn.























































