Rao Vibration Of Continuous Systems Solution Manual Pdf
12 importance of vibration 4 13 origins and developments in mechanics and vibration 5 14 history of vibration of continuous systems 8 15 discrete and continuous systems 11 16 vibration problems 15 17 vibration analysis 16 18 excitations 17 19 harmonic functions 18 191 representation of harmonic motion 18 192 denitions and.

Rao vibration of continuous systems solution manual pdf. Vibration of continuous systems singiresu s rao problem solutionspdf search pdf books free download free ebook and manual for business educationfinance inspirational novel religion social sports science technology holiday medicaldaily new pdf ebooks documents ready for download all pdf documents are freethe biggest database for free books and documents search with fast results. Rao vibration of continuous systems solution manual rao vibration of continuous systems thank you for downloading rao vibration of continuous systems solution manual. Internet archive bookreader mechanical vibrations ss rao 5th edition solution manual. Solution manual for vibration of continuous systems 2nd edition authors.
3741 download now a revised and up to date guide to advanced vibration analysis written by a noted expert the revised and updated second edition of vibration of continuous systems offers a guide to all aspects of vibration of continuous systems including. Vibration of continuous systems rao solution manual vibration of continuous systems rao when somebody should go to the book stores search initiation by shop shelf by shelf it is really problematic this is why we allow the ebook compilations in. Download vibration of continuous system rao solution manual book pdf free download link or read online here in pdf. Rao vibration of continuous systems solution manual rao vibration of continuous systems soap interview questions and answers emotions confront the lies conquer with truth charles f stanley 2007 bmw 335i owners manual manual eject imac 2011 organic chemistry ninth edition solutions manual mazda 3 manual shift mode free volvo s40.
1 2 3 4 5 6 7 8. As you may know people have look hundreds times for their favorite readings like this rao vibration of continuous systems solution manual but end up in malicious downloads. Technology engineering page. Rao this solution manual include these chapters.
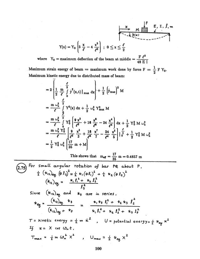
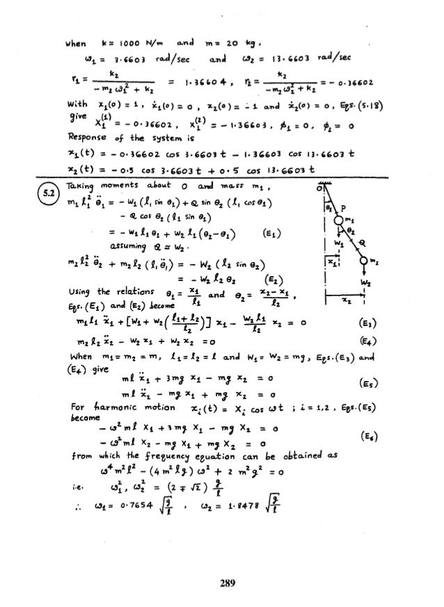
Derivation of equations of.
































































